Nu mai este un secret, iar suma de bani pe care Gabriela Cristea a luat-o de la stat pentru concediul de maternitate s-a aflat. Suma încasată de prezentatoarea TV reprezintă plafonul maxim stabilit de Guvernul României anul trecut. Acum, Gabriela Cristea este însărcinată cu cel de-al doilea copil.
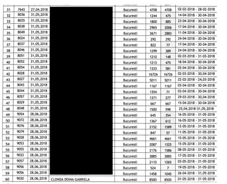
În perioada concediului pe care l-a avut pentru creșterea fiicei sale, Bella Victoria Margoy, Gabriela Cristea a încasat o indemnizație de 8.500 de lei de la stat. Aceasta a reprezentat plafonul maxim stabilit de Guvernul României anul trecut.
Informația apare pe site-ul Ministerului Muncii și Justiției Sociale, într-o înștiințare a Agenției pentru Plăți și Inspecție Socială a Municipiului București. Anul trecut, prezentatoarea de televiziune Gabriela Cristea a fost într-o polemică cu ministrul Muncii, Lia Olguța Vasilescu, referitor la idemnizații.
„Dragă Olguța, te rog frumos să nu ne mai faci proști pe față. Noi te respectăm, așteptăm și de la tine respect. În Germania TOATE mamele primesc 1800 euro, indiferent dacă au cotizat sau nu la stat și după 45 de zile de la naștere au voie să lucreze 4 ore/ zi sau pot lucra de acasă. În România dacă ai venituri, îți iei adio de la indemnizatia de cresterea copilului. Și dacă tot vorbim despre Germania, acolo alocația pentru copil nu este 18 euro/lună, ca în România. Așa că draga mea, hai să nu mai luam din Germania doar ce ne convine. Și încă ceva: nu se întreaba nimeni cum sta Germania cu natalitatea și cum stă România cu natalitatea', a spus Gabriela Cristea la vremea respectivă.
Gabriela Cristea e însărcinată cu cel de-al doilea copil
La 44 de ani, Gabriela Cristea este însărcinată pentru a doua oară. Vedeta a luat prin surprindere pe toată lumea, iar vestea a fost una total neașteptată. Gabriela Cristea va naște în primăvara anului viitor.
„Eu nu mă așteptam să fiu însărcinată, pentru că nu mă simțeam a fi însărcinată. Țineam cură de slăbire, îmi doream așa, să facem lucruri pentru noi. Și m-am terzit că sunt într-o întârziere, ca să zic așa, nu îmi suna nimeni la ușă. Nu a venit o zi, 2, 3…și tot așa, după care, la un moment dat, am zis să vedem ce putem face, că trebuie să o sun pe doamna doctor. Dar înainte, eu sigură pe mine că nu sunt însărcinată,mi-am făcut testul așa…dar nu am terminat bine de făcut testul și am văzut două liniuțe, era să leșin. M-am dus în cameră, unde Tavi mustăcea și el și i-am zis: na de aici!', a spus Gabriela Cristea.
Citește și: Primele imagini cu Gabriela Cristea însărcinată cu cel de-al doilea copil. Când va naște prezentatoarea TV
Citește și: Gabriela Cristea este însărcinată pentru a doua oară
FOTO: Facebook
:contrast(8):quality(75)/https://www.viva.ro/wp-content/uploads/2018/10/Gabriela-Cristea-Tavi-Clonda-și-Victoria-e1540891632986.jpg)
:contrast(8):quality(75)/https://www.viva.ro/wp-content/uploads/2020/09/hepta_5277581-1.jpg)